Prodotti destinati all’industria.
Condizioni generali di vendita disponibili sul sito
www.camozzi.com.Regolatori di pressione Serie N
CATALOGO
3
/4.10.03
3
>
Release 8.8
TRATTAMENTO >
TRATTAMENTO
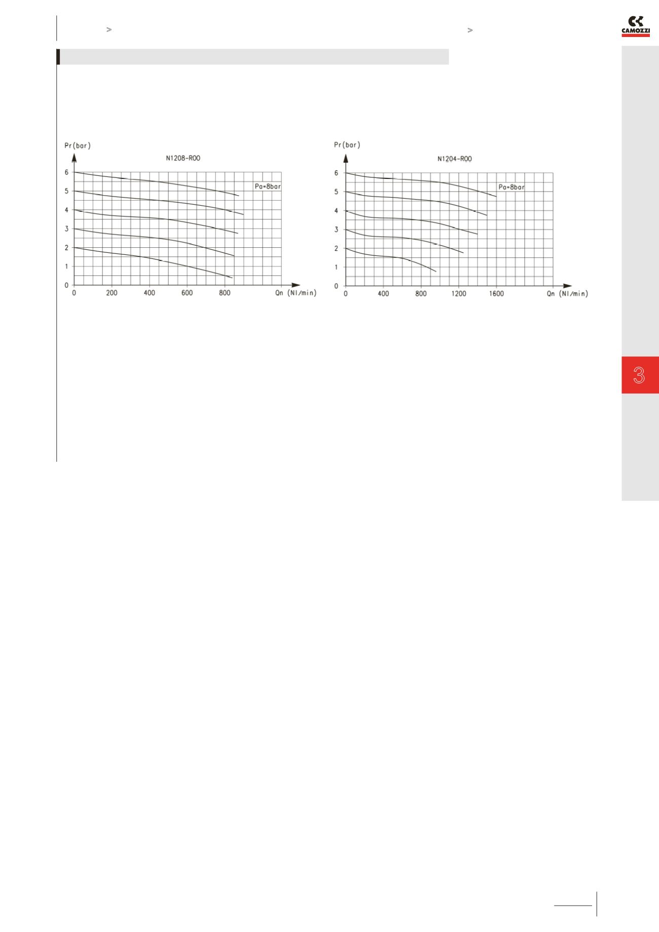
Diagramma di portata per modello: N208-R00
Pa = Pressione di ingresso
Pr = Pressione regolata
Qn = Portata
Diagramma di portata per modello: N204-R00
Pa = Pressione di ingresso
Pr = Pressione regolata
Qn = Portata
DIAGRAMMI DI PORTATA




