Prodotti destinati all’industria.
Condizioni generali di vendita disponibili sul sito
www.camozzi.com.Valvole proporzionali Serie AP
CATALOGO
2
/15.01.05
2
>
Release 8.8
CONTROLLO >
CONTROLLO
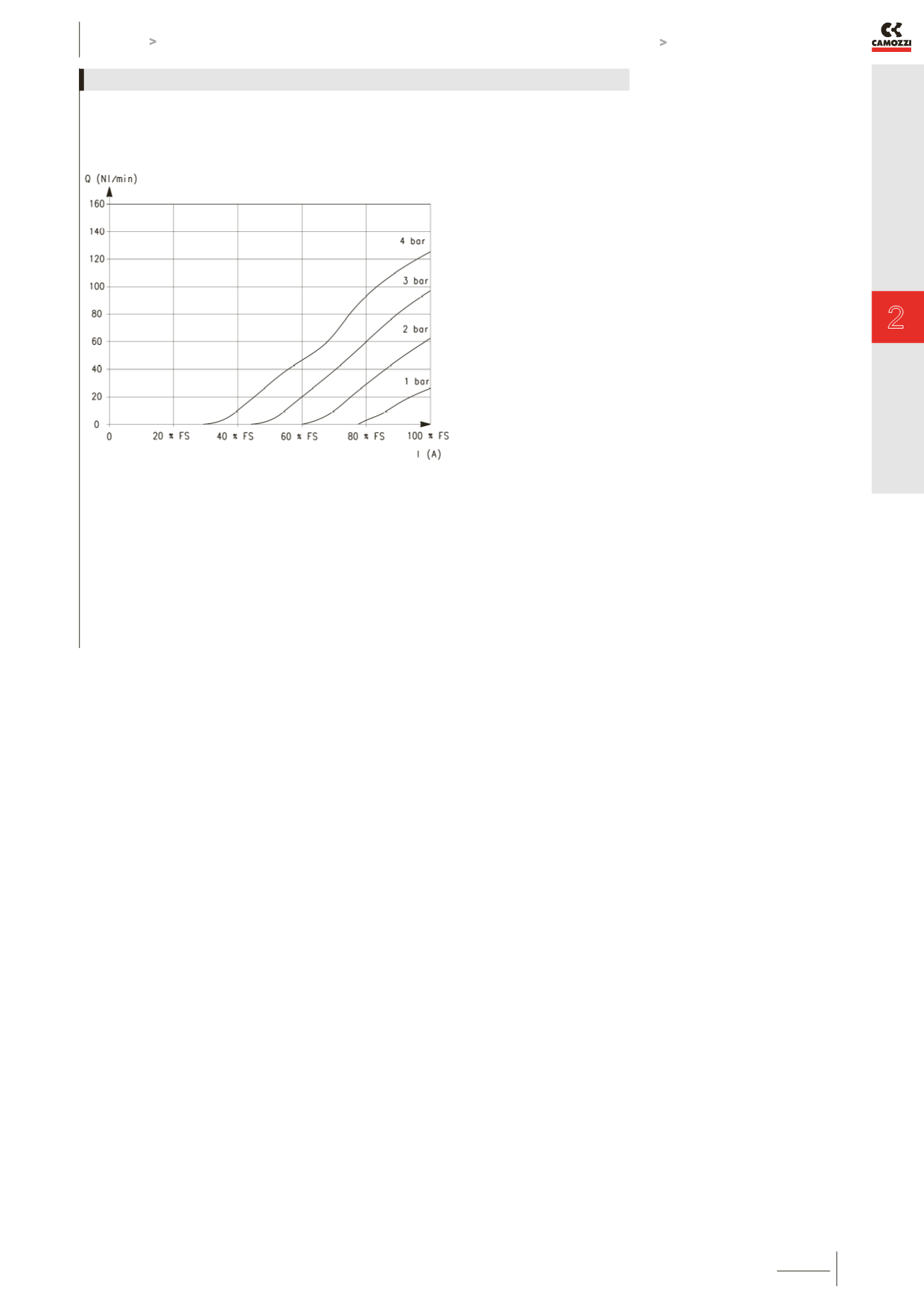
Ugello 2.4 mm
Q = Portata (Nl/min)
I = Corrente (A)
FS = fondo scala
DIAGRAMMA DI PORTATA - taglia 22 mm




