Prodotti destinati all’industria.
Condizioni generali di vendita disponibili sul sito
www.camozzi.com.Pinze parallele autocentranti Serie CGPT
CATALOGO
1
/7.17.10
1
>
Release 8.8
MOVIMENTO >
MOVIMENTO
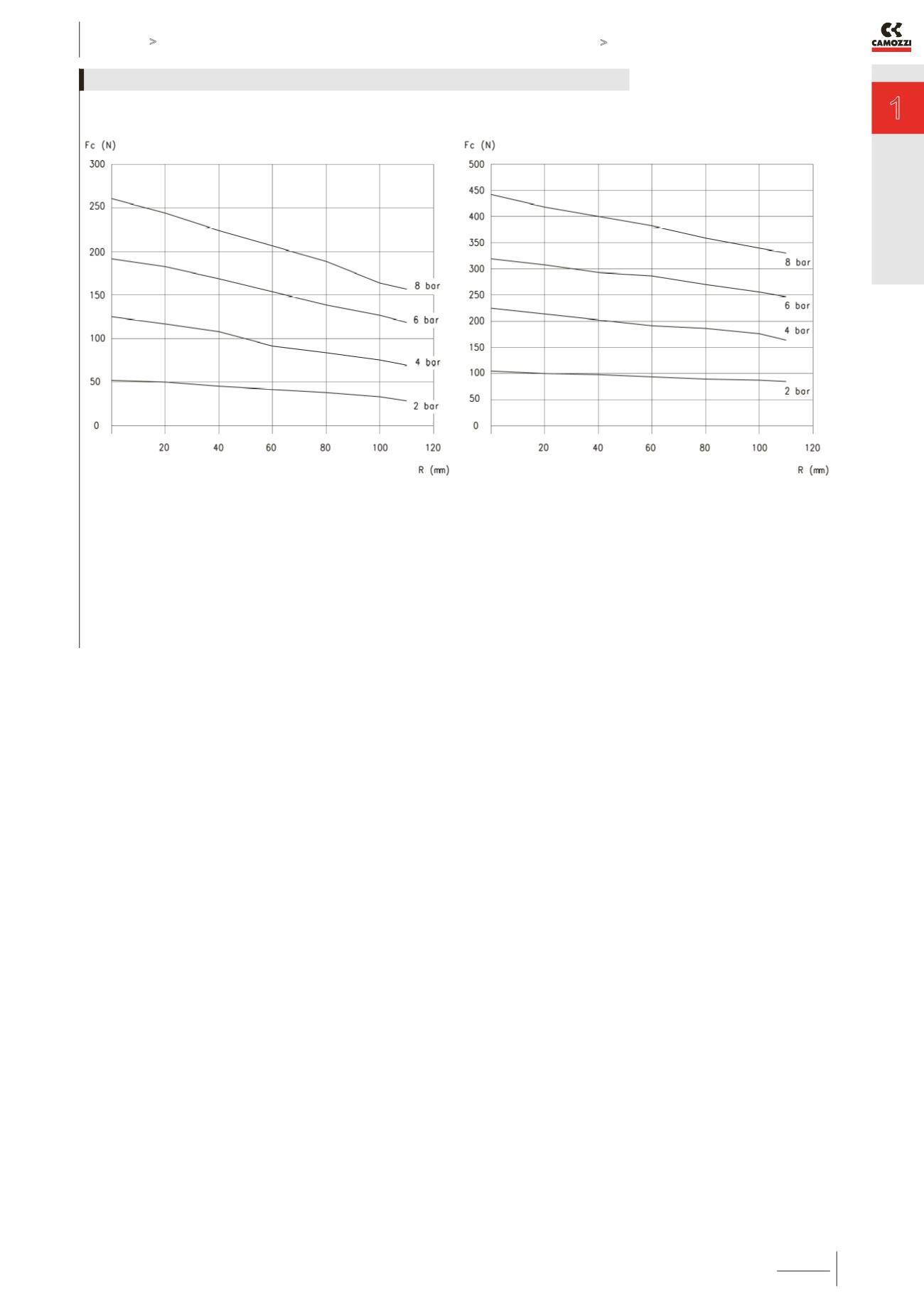
CGPT-32
R = braccio di leva
Fc = Forza di presa in chiusura
Fa (Forza di presa in apertura) = Fc + 10%
CGPT-40
R = braccio di leva
Fc = Forza di presa in chiusura
Fa (Forza di presa in apertura) = Fc + 10%
FORZA DI SERRAGGIO (Fc) PER SINGOLA GRIFFA




